二一:多路查找树、二叉树与B树、2-3树、B+树、B*树。(本章为了解基本知识即可,不做代码学习)
一、二叉树与B树
1.1 叉树的问题分析
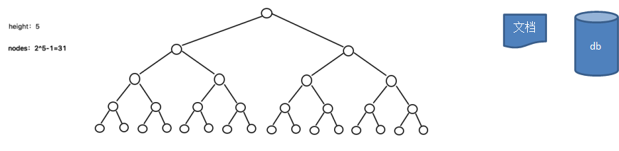
二叉树的操作效率较高,但是也存在问题, 请看下面的二叉树

1、 二叉树需要加载到内存的,如果二叉树的节点少,没有什么问题,但是如果二叉树的节点很多(比如1亿),就存在如下问题:;
2、 问题1:在构建二叉树时,需要多次进行i/o操作(海量数据存在数据库或文件中),节点海量,构建二叉树时,速度有影响;
3、 问题2:节点海量,也会造成二叉树的高度很大,会降低操作速度.;
1.2 多叉树
1、 在二叉树中,每个节点有数据项,最多有两个子节点**如果允许每个节点可以有更多的数据项和更多的子节点,就是多叉树(multiwaytree);
2、 后面我们讲解的2-3树,2-3-4树**就是多叉树,多叉树通过重新组织节点,减少树的高度,能对二叉树进行优化;
3、 举例说明(下面2-3树就是一颗多叉树),一个节点有两个子节点就是2节点,有三个子节点就是3节点;

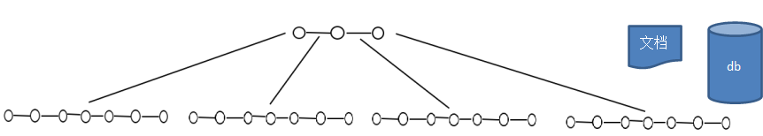
1.3 B树的基本介绍
B树通过重新组织节点,降低树的高度,并且减少i/o读写次数来提升效率。

1、 如图B树通过重新组织节点,降低了树的高度.;
2、 文件系统及数据库系统的设计者利用了磁盘预读原理,将一个节点的大小设为等于一个页(页得大小通常为4k),这样每个节点只需要一次I/O就可以完全载入;